Beranda
/ Kesamaan Matriks Contoh Soal : Kesamaan Matriks Pendidikan Matematika - Pada umumnya rangkuman materi kesamaan dua matriks ini berkaitan dengan operasi matriks.
Kesamaan Matriks Contoh Soal : Kesamaan Matriks Pendidikan Matematika - Pada umumnya rangkuman materi kesamaan dua matriks ini berkaitan dengan operasi matriks.
Kesamaan Matriks Contoh Soal : Kesamaan Matriks Pendidikan Matematika - Pada umumnya rangkuman materi kesamaan dua matriks ini berkaitan dengan operasi matriks.. Matriks memiliki banyak kegunaan, di antaranya adalah untuk menyelesaikan sistem persamaan linear. Jika diketahui matriks a dan b seperti di bawah ini, maka tentukanlah hubungan antara b + a dan a + b. Soal asli utbk 2019 matematika saintek persamaan kuadrat youtube matematika sistem persamaan persamaan matriks dalam matematika merupakan kumpulan bilangan simbol atau ekspresi berbentuk persegi panjang yang disusun menurut baris dan kolom. Dengan menggunakan rumus penjelasan persamaan matriks di atas, diperoleh sebagai berikut. Contoh soal kesamaan dua matriks matematika wajib kelas xi youtube from www.youtube.com.
Materi pengertian jenis sifat rumus invers matriks 3×3 2×2 dan contoh soal serta pembahasannya lengkap. Contoh soal matriks dan jawabannya kelas 11 a. Tentukan relasi matriks a dan b kalau diketahui. Agar lebih jelasnya lagi perhatikan contoh soal di bawah ini : Jika diketahui, p dan q ialah matriks 2×2 !
Soal 4 Tentukan Nilai X Dan Y Dari Kesamaan Matriks Berikut 3x 2y 5 9 7 from zs-inline.s3.ap-southeast-1.amazonaws.com Matriks memiliki banyak kegunaan, di antaranya adalah untuk menyelesaikan sistem persamaan linear. Menentukan kesamaan matriks menentukan nilai variabel dari elemen suatu matriks menggunakan syarat kesamaan dua matriks tujuan : Pada kesempatan kali ini saya akan memposting 40 soal. Diketahui dua matriks sebagai berikut. Pelajaran soal rumus metode eliminasi substitusi wardaya college from www.wardayacollege.com. 5 tentukan determinan dari matriks a berikut ini pembahasan menentukan determinan matriks ordo 2 x 2 det a =|a. Pada pertemuan sebelumnya telah dibahas tentang pengertian persamaan logaritma dimana diartikel sebelumnya diuraikan lengkap mulai dari pengertian sifat rumus dan beberapa contoh soal namun tidak banyak. Pada umumnya rangkuman materi kesamaan dua matriks ini berkaitan dengan operasi matriks.
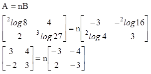
Jika diketahui matriks a dan b seperti di bawah ini, maka tentukanlah hubungan antara b + a dan a + b.
Contoh soal matriks dan penyelesaiannya kelas 10; Sudah sangat jelas bahwa pada operasi penjumlahan matriks berlaku. Pembahasan kesamaan dua buah matriks, terlihat bahwa 3a = 9 → a = 3 2b = 10 → b = 5 2x = 12 → x = 6 y = 6 sehingga: Contoh soal dan penyelesaian kesamaan dan transpose matriks 1. Contoh soal dan pembahasan tentang matriks contoh soal dan pembahasan tentang operasi matriks contoh soal dan pembahasan tentang transpose matriks. Untuk itu contoh soal kesamaan dua matriks dapat diselesaikan menggunakan metode pengeluaran dan penyamaan komponen seletak dalam matriks. Agar lebih jelasnya lagi perhatikan contoh soal di bawah ini : 7 (un matematika tahun 2010 p37 matriks) pembahasan kesamaan dua matriks: Contoh soal dan jawaban kesamaan dua matriks ilmusosial id from i1.wp.com contoh soal matriks 1 memuat soal un matriks yang sesuai dengan level kognitif pengetahuan dan pemahaman. Pelajaran soal rumus metode eliminasi substitusi wardaya college from www.wardayacollege.com. Tentukan relasi matriks a dan b kalau diketahui. Untuk mempelajari matriks secara efektif, pertama kita akan. 24++ contoh soal matriks mencari nilai xy dan z.
Kesamaan dua matriks biasanya berhubungan dengan operasi matriks. 01062020 contoh soal matriks persamaan linear 3 variabel. Pada saat harga apel rp. Jika diketahui, p dan q ialah matriks 2×2 ! Dimana matriks yang kiri setelah dioperasikan menjadi sama dengan matriks yang kanan.
Perkalian Matriks Invers Transpose Pengertian Dan Jenisnya from www.dosenpendidikan.co.id Jika diketahui matriks a dan b seperti di bawah ini, maka tentukanlah hubungan antara b + a dan a + b. Soal kesamaan matriks studi indonesia. Contoh soal dan jawaban kesamaan dua matriks ilmusosial id from i1.wp.com contoh soal matriks 1 memuat soal un matriks yang sesuai dengan level kognitif pengetahuan dan pemahaman. Pada umumnya rangkuman materi kesamaan dua matriks ini berkaitan dengan operasi matriks. Karena elemen yang letaknya sama bernilai sama juga, maka matriks p dan q tersebut bisa dikatakan. Doc soal dan pembahasan matriks fajrin puspa academia edu from www.academia.edu. 24++ contoh soal matriks mencari nilai xy dan z. Contoh soal persamaan matriks matematika.
Agar lebih jelasnya lagi perhatikan contoh soal di bawah ini :
Dari perhitungan di atas, diperoleh nilai a= 1, b = 6, c= 0, dan d= 9. Materi pengertian jenis sifat rumus invers matriks 3×3 2×2 dan contoh soal serta pembahasannya lengkap. 7 (un matematika tahun 2010 p37 matriks) pembahasan kesamaan dua matriks: 2 2 contoh 4 menggunakan aturan cramer youtube. Untuk itu contoh soal kesamaan dua matriks dapat diselesaikan menggunakan metode pengeluaran dan penyamaan komponen seletak dalam matriks. Tentukan nilai dari a, b,c, dan d! Kesamaan dua matriks biasanya berhubungan dengan operasi matriks. Pada umumnya rangkuman materi kesamaan dua matriks ini berkaitan dengan operasi matriks. Menentukan kesamaan matriks menentukan nilai variabel dari elemen suatu matriks menggunakan syarat kesamaan dua matriks tujuan : 24++ contoh soal matriks mencari nilai xy dan z. Agar lebih jelasnya lagi perhatikan contoh soal di bawah ini : Jika diketahui, p dan q ialah matriks 2×2 ! Invers matriks 2×2 dan 3×3 beserta contoh soalnya.
Dengan menggunakan rumus penjelasan persamaan matriks di atas, diperoleh sebagai berikut. 7 (un matematika tahun 2010 p37 matriks) pembahasan kesamaan dua matriks: 24 diketahui matriks memenuhi ax = b, tentukan matriks x pembahasan jika ax = b, maka untuk mencari x. Minor kofaktor matrik kofaktor dan adjoin matrik harianja uniks. Contoh soal dan pembahasan operasi matriks yang paling sering keluar dalam ujian dan tes masuk perguruan tinggi bagi yang mengambil ipa tentu saja harus kalian pahami dengan baik dan benar sebisa mungkin semuanya di lahap sehingga sangat mudah dan cepat dalam menyelesaikan semua soal tentu saja.
1 from Soal dan pembahasan operasi matriks. Agar lebih jelasnya lagi perhatikan contoh soal di bawah ini : Karena elemen yang letaknya sama bernilai sama juga, maka matriks p dan q tersebut bisa dikatakan. Untuk itu contoh soal kesamaan dua matriks dapat diselesaikan menggunakan metode pengeluaran dan penyamaan komponen seletak dalam matriks. 24 diketahui matriks memenuhi ax = b, tentukan matriks x pembahasan jika ax = b, maka untuk mencari x. Materi pengertian jenis sifat rumus invers matriks 3×3 2×2 dan contoh soal serta pembahasannya lengkap. Invers matriks 2×2 dan 3×3 beserta contoh soalnya. Rumus cepat invers matriks 3x3 guru ilmu sosial.
Kesamaan matriks, terlebih dahulu kalian akan mempelajari materi mengenal bentuk dan ciri matriks, pengertian dan istilah dalam matriks, jenis matriks, dan transpose matriks.
Rumus cepat invers matriks 3x3 guru ilmu sosial. 4a = 12 a=3 3a = − 3b −3a = − 3b −3(3) = − 3b −9 = − 3b b=3 3c = b 3c = 3 c= 1 a + b + c = 3 + ( 3) + ( 1) = 7 soal no. Dimana matriks yang kiri setelah dioperasikan menjadi sama dengan matriks yang kanan. Dari soal kita mendapatkan bahwa untuk kesamaan matriks di atas terdapat. Perhatikan matriks di bawah ini: Pada kesempatan kali ini saya akan memposting 40 soal. Prinsip kesamaan matriks pada umumnya digunakan untuk menentukan komponen pada sel tertentu atau menentukan variabel yang terdapat dalam komponen penyusun matriks. 24 diketahui matriks memenuhi ax = b, tentukan matriks x pembahasan jika ax = b, maka untuk mencari x. Contoh pertama diketahui jika a=b, tentukan a+b+c+d. 39+ contoh soal nilai x dan y yang memenuhi persamaan matriks.pembahasan masih tentang kesamaan dua buah matriks ditambah tentang materi bentuk pangkat, mulai dari persamaan yang lebih mudah dulu: Itulah yang dapat kami bagikan terkait contoh soal kesamaan dua matriks beserta jawabannya. Dari perhitungan di atas, diperoleh nilai a= 1, b = 6, c= 0, dan d= 9. Soal pembahasan kesamaan matriks tanya soal.
Berbagi
Posting Komentar
untuk "Kesamaan Matriks Contoh Soal : Kesamaan Matriks Pendidikan Matematika - Pada umumnya rangkuman materi kesamaan dua matriks ini berkaitan dengan operasi matriks."
Posting Komentar untuk "Kesamaan Matriks Contoh Soal : Kesamaan Matriks Pendidikan Matematika - Pada umumnya rangkuman materi kesamaan dua matriks ini berkaitan dengan operasi matriks."